1.1 NEUMANN ELVEI
A számítógépek felépítésének és működésének Neumann János által megfogalmazott elvei a következők:
1.2 A SZÁMRENDSZEREK
Az köznapi életben rendszerint a 10-es (decimális) számrendszert használjuk, ezért ezt
tartjuk természetesnek. A számítógépes adatok, kódok, programok megértéséhez azonban
szükségünk van arra, hogy a különböző számrendszerekben szabadon hajtsunk végre
műveleteket. Egy tetszőleges alapú számrendszerben a következőképpen tudunk felírni egy
számot:

ahol p jelöli a számrendszer alapját, i a helyiértéket, n a pozitív, m pedig a negatív
helyiértékek számát, a pedig a számjegyeket.
A tízes számrendszerben felírt számoknál nem jelöljük a számrendszer alapját. Azokat a
számjegyeket, amelyeket egy adott számrendszerbeli szám felírásánál használhatunk, a
számrendszer jelkészletének nevezzük. A jelkészlet nagyságát a számrendszer alapja
egyértelműen meghatározza. A p alapú számrendszer jelkészlete a 0,1,2...p-1 számjegyekből
áll. Ha p>10, akkor a szokásos számjegyekből nem állítható össze a teljes jelkészlet, a 9-nél
nagyobb számjegyek jelölésére más jeleket, például betűket használunk.
Egy adott számrendszerben, adott számú helyiértéken ábrázolható legnagyobb (K) és
legkisebb (k) szám:
K = pn+1-p-m
k = p-m
Példák: Számoljuk át a következő különböző alapú számrendszerbeli számokat tízes számrendszerbe:
123,12(4) = 1*42+2*41+3*40+1*4-1+2*4-2 = 27,375
123,12(5) = 1*52+2*51+3*50+1*5-1+2*5-2 = 38,28
123,12(6) = 1*62+2*61+3*60+1*6-1+2*6-2 = 51,22
1.2.1 Kettes (bináris) számrendszer
A számítógépes adattárolás eszközei legnagyobb részben kétállapotú fizikai elemek (pl.
tranzisztorok). Az egyik állapotot megfeleltetjük a nulla számnak, a másikat az egynek. Így
egyetlen kétállapotú fizikai elem alkalmas egy egyjegyű, kettes számrendszerbeli szám
értékének tárolására. A kettes számrendszerbe tartozó számot bináris számnak, az egyjegyű
bináris számot pedig bitnek nevezzük. A bit az információ alapegysége.
Tegyük fel, hogy n+m+1 bit áll rendelkezésünkre, és képzeljük a pontot az n+1. bit után.
Ekkor az n+m+1 biten felírható bináris szám:
an*2n+...+a0*20+a-1*2-1+...+a-m*2-m
ahol az an,...,a0,a-1,...,a-m értéke 0 vagy 1.
1.2.2 Miért jó a kettes számrendszer
Vizsgáljuk meg, hogy a számok ábrázolására melyik a legoptimálisabban alkalmazható
számrendszer.
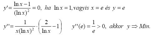
S = R*logRM = R*InM / InR
ahol R a radix, vagyis az alapszám, logRM pedig a szükséges számjegyek száma.
Keressük meg y = x / In x minimumát!

1.1. ábra: Szemléltető grafikon

A legoptimálisabban tehát a természetes alapú számrendszerben tudnánk ábrázolni a számokat, azonban ez a számítást nagyon nehézkessé tenné, és a technikai megvalósítása is rendkívül bonyolult lenne. Ha egész alapú számrendszerekben gondolkodunk, akkor a 3-as számrendszer lenne megfelelő, viszont a számítástechnikában használt kétállapotú elemeknek sokkal inkább megfelel a bináris számábrázolás.
1.2.3 Tízes-kettes(decimális-bináris) számrendszerbeli számkonverziók
a) Az egész rész konvertálása
A decimális egészrészt addig osztjuk kettővel, amíg az osztás eredménye nulla nem
lesz. Egy függőleges vonallal képezzünk két oszlopot. A vonal bal oldalán szerepelnek a
hányadosok, a jobb oldalán pedig a maradékok.

b) A törtrész konvertálása
A törtrészt addig szorozzuk kettővel, amíg a szorzás eredménye 1,0 nem lesz. Ez ritkán
következik be, ezért a végtelen, szakaszos kettedes tört ismétlődő szakaszának
felismeréséig, vagy pedig az ábrázolható helyiértéktől függő oszlophosszúságig folytatjuk
a szorzást. Itt is két oszlopot készítünk egy függőleges vonallal. A vonal bal oldalán
szerepelnek a szorzás egész részei, a jobb oldalán pedig a törtrészei. A szorzást csak a
törtrésszel folytatjuk.

Kettes számrendszerben ez végtelen szakaszos tört, tehát elvileg végtelen sok hely kell a tárolásához.
1.2.4 Bináris számok átalakítása decimális számokká
Horner-séma polinomok helyettesítési értékének meghatározására:
pn(x) = an*xn+an-1*xn-1+...+a2*x2+a1*x+a0 =
= x(an*xn-1+an-1*xn-2+...+a2*x+a1)+a0
Például p3(x) = 2x3+5x2-3x+4 és x1 = 3,14. Mekkora p3 (x1) értéke?
p3(3,14) = 3,14[3,14(3,14*2+5)-2]+4 = 3,14[3,14(6,28+5)-3]+4 =
= 3,14(3,14*11,28-3)+4 = 3,14*32,4192+4 = 105,79629
A bináris egészrész átalakításakor x1=2, a törtrésznél pedig x2=1/2 és a0=0.
2. pl.: 10010112=?
| 1 | 0 | 0 | 1 | 0 | 1 | 1 |
| 2 | 4 | 8 | 18 | 36 | 74 | 75 |
Az utolsó összeget már nem kell megszorozni 2-vel.
2. pl.: 0,10100112=?
| 1 | 1 | 0 | 1 | 0 | 0 | 1 |
| 0,5 | 0,75 | 0,375 | 0,6875 | 0,34375 | 0,171875 | 0,5859375 |
Az utolsó összeget is el kellett osztani 2-vel.
3. pl.: 1011,01012=?
| 1 | 0 | 1 | 1 | , | 0 | 1 | 0 | 1 |
| 2 | 4 | 10 | 11 | 11,3125 | 0,3125 | 0,625 | 0,25 | 0,5 |

A törtrésznél hátulról kezdjük az osztást.
1.2.5 Hexadecimális számok
Az ember számára a kettes számrendszerben felírt szám nem eléggé áttekinthető, túl
hosszú, ezért bevezetjük a binárishoz közeli hexadecimális (tizenhatos alapú) számrendszert,
ami megkönnyíti a bináris számok kezelését. A hexadecimális számrendszer számjegyei
növekvő sorrendben a következők:
0,1,2,3,4,5,6,7,8,9,A,B,C,D,E,F
A betűk a 9-nél nagyobb számjegyek ábrázolására szolgálnak, tízes számrendszerbeli megfelelőjük:
A=10; B=11; C=12; D=13; E=14; F=15
Ha egy tetszőleges bináris számot négyes csoportokra osztunk az egészeket a törtektől
elválasztó ponttól balra és jobbra indulva, a négyes csoportoknak megfeleltethetünk egy-egy
hexadecimális számjegyet.
Ha a négyes csoportokra osztásnál a törtészt jelölő ponttól jobbra vagy balra lévő csoport
négynél kevesebb tagból áll, jobb oldalon a szám után, bal oldalon a szám elé annyi nullát
képzelünk, hogy a csoport négy jegyből álljon.
| Bináris | Hexadecimális |
| 0000 | 0 |
| 0001 | 1 |
| 0010 | 2 |
| 0011 | 3 |
| 0100 | 4 |
| 0101 | 5 |
| 0110 | 6 |
| 0111 | 7 |
| 1000 | 8 |
| 1001 | 9 |
| 1010 | A |
| 1011 | B |
| 1100 | C |
| 1101 | D |
| 1110 | E |
| 1111 | F |
1-1. táblázat: A bináris és a hexadecimális számok közötti közvetlen megfeleltetés

1.2.6 Decimális számok konvertálása tetszőleges alapú számrendszerbe

A fenti séma alapján elvégezhetjük a konverziót decimálisból más számrendszerekbe.
Nyilvánvaló, hogy a decimális szám egészrésze minden számrendszerben egész, a törtrésze
pedig tört lesz. Ez lehetővé teszi az egész- és törtrész konverzióját külön-külön.
Először az egészrészt számoljuk át: ha a decimális számot elosztjuk a másik számrendszer
alapszámával (p-vel), a maradék (a0) az új rendszerben az egyesek helyén áll. Ha a kapott
hányadost újra osztjuk p-vel, a maradék (a1) a p első hatványainak megfelelő helyiértékén áll.
A műveletet folytatva eljutunk a nulla hányadosig, a maradék a p alapú rendszerben felírt
szám legmagasabb helyiértékű jegye.
A törtrésznél fordítva járunk el. A decimális szám törtrészét megszorozzuk p-vel, és a
kapott szám tizedesponttól balra álló (egész) része lesz a p alapú rendszerben felírt szám első,
a ponttól jobbra álló jegye.
Ezt a részt levágjuk, a megmaradt tizedes törtet tovább szorozzuk p-vel, a tizedesponttól
balra eső részt ismét levágjuk, ez lesz a szám második törtjegye. Ez a folyamat nem ér mindig
véget oly módon, hogy a számjegyek elfogynak, ugyanis a tízes számrendszerben véges
formában felírt tört szám nem mindig írható fel véges formában egy másik rendszerben.
1.2.7 Aritmetikai műveletek bináris számrendszerben
A tízes számrendszerben megtanult műveletvégzés alkalmazható minden helyiértékes
számrendszerben, tehát csak az ott megszokott aritmetikai műveletvégzési szabályokra van
szükség.
Az összeadás menete a következő: jobbról balra haladva összeadjuk az azonos helyiértékű
számjegyeket. Ha az összeg nem haladja meg a számrendszerben leírható maximális jegyet
(kettes számrendszerben ez a szám az 1), akkor leírjuk, ha meghaladja, kivonjuk belőle a
számrendszer alapját (azaz 2-őt), és leírjuk a maradékot, az eggyel nagyobb helyiértéken álló
számok összegéhez pedig 1-et hozzáadunk. A műveletet addig folytatjuk, amíg a számjegyek
el nem fogynak.
Példa:
| +1 | +1 | +1 | +1 | +1 | +1 | (átvitel) | |||
| 1 | 0 | 0 | 1 | . | 1 | 1 | |||
| + | 1 | 1 | 0 | . | 1 | 1 | |||
|
1 |
0 |
0 |
0 |
0 |
. |
1 |
0 |
A kivonást a legalacsonyabb helyiértéken kezdjük. Ha a kisebbítendő számjegy nem kisebb mint a kivonandó, a kivonást elvégezzük, és az eredményt leírjuk. Ha kisebb "kölcsönvesszük" az eggyel nagyobb helyiértékű oszlopból a számrendszer alapját. A műveletet addig folytatjuk, amíg a számjegyek el nem fogynak.
Példa:
| +10 | +10 | +10 | ||||||||||
| 1 | 1 | 0 | 1 | 1 | 0 | 1 | . | 1 | 0 | 1 | ||
| - | 1 | 1 | 1 | 1 | 0 | 1 | . | 0 | 1 | 0 | ||
|
1 |
1 |
0 |
0 |
0 |
0 |
. |
0 |
1 |
1 |
| 1-0=1 | leírjuk az 1-et. |
| 10(2)-1=1 | leírjuk az 1-et. |
| 1-1-0=0 | leírjuk a 0-t. |
| 1-1=0 | leírjuk a 0-t. |
| 0-0=0 | leírjuk a 0-t. |
| 1-1-0=0 | leírjuk a 0-t. |
| 1-1-0=0 | leírjuk a 0-t. |
| 10(2)-1=1 | leírjuk az 1-et. |
| 11(2)-1-1=1 | leírjuk az 1-et. |
| 1-1-0=0 | leírjuk a 0-t. |
Mivel a + vagy - előjel kiírására a gépi számábrázolásnál nincs lehetőség, a pozitív és a
negatív számokat más módon kell megkülönböztetni. Legegyszerűbb lenne a szám valamelyik
bitjét - pl. az elsőt - előjelbitnek kinevezni, pozitív számok esetén az értéke 0 lehetne, negatív
számok esetén 1. Az, hogy mégsem mindig ezt az egyszerű eljárást alkalmazzák a
számítástechnikában, arra vezethető vissza, hogy a negatív számokat olyan formában célszerű
tárolni, hogy a gépi kivonás művelete összeadással legyen helyettesíthető. Minthogy a szorzás
összeadások sorozatára, az osztás kivonások sorozatára vezethető vissza, ha sikerül a kivonást
összeadásra visszavezetni, akkor a számítógépnek csak egyetlen aritmetikai műveletet, az
összeadást kell tudnia elvégezni.
Nézzük meg, hogy a negatív számok speciális ábrázolásával hogyan vezethető vissza a
kivonás összeadásra. Az egyszerűség kedvéért térjünk át a tízes számrendszerbe. Tegyük fel,
hogy a számok ábrázolására három pozíció áll rendelkezésünkre (a legnagyobb ábrázolható
szám 103-1=999).
Vegyünk egy tetszőleges háromjegyű számot, pl. a 234-et. Vonjuk ki 999-ből, az eredmény
765. A 765 az a szám, amely a 234-et csupa kilencesekből álló számra egészíti ki három
pozíción. Ezt a számot a 234 kilences komplemensének (kiegészítőjének) nevezzük.
Általában beszélhetünk a p alapú számrendszerben egy szám p-1-es komplemenséről, amely a
számot olyan n pozíciójú számmá egészíti ki, amelynek minden jegye p-1. Adjunk hozzá a
765-höz 1-et, az eredmény 766.
A 766-ot a 234 tízes komplementerének nevezzük. Általában azt a számot, amely a p alapú
számrendszerben egy n pozíción felírható számot p-re egészít ki, a szám p-s komplemensének
nevezzük. Láttuk, hogy a p-1-es komplemensből a p-s komplemenst 1 hozzáadásával kapjuk.
Végezzük el az alábbi kivonást a hárompozíciós decimális számok körében:
723-132=591
Ezt a kivonást az alábbi egyenlőség felhasználásával másképp is elvégezhetjük:
723-132=723+(1000-132)-1000
Lépésenként végrehajtva, először képezzük a 132 tízes komplemensét három pozícióra, ez 868. Ezt hozzáadjuk a 723-hoz, az eredmény:
723+868=1591
A kapott számból kivonunk ezret, azaz elhagyjuk az első számjegyet, amit a számítógép
automatikusan le is vágna, hiszen a szám ábrázolására csak három pozíció áll rendelkezésre.
Így a kivonást két műveletre, egy p-s komplemensképzésre és egy összeadásra vezettük
vissza.
Kettes számrendszerben a p-1-es komplemens nem más, mint az 1-es komplemens, így a
komplemensképzéskor a nullákhoz egyet, az egyekhez nullákat kell adnunk, hogy minden
pozíción 1-et kapjunk. A kettes komplemens képzése meghatározás szerint egy egyes
hozzáadásával valósul meg.
Példa:
11001110 - nyolcpozíciós bináris szám
00110001 - a szám egyes komplemense
| 001100001 | - egyes komplemens |
| 00110010 | - kettes komplemens |