Bizonyíték az egynél nagyobb hatásfokra R-L körben kapcsolgatott induktivitással.
by J.L.Naudin, W.D.Bauer and S.Hartmann
© 1.version 30.9.97, 2.enlarged version 5.10.97
updated 6th of
October 97
Le kell szögezni, hogy ez a teszt áramkör bifiláris tekercsekkel lett megpróbálva, de úgy használtuk, mint 2 normál soros drót tekercseket és NEM A BIFILÁRIS NEM INDUKTÍV módban!
Az elméleti számításainknál 2 normál tekercset használunk, ahol a fluxus nem létesít interakciót (kölcsölnhatást), továbbá tanácsoljuk, hogy két normál tekercset használj, amelyek nincsenek mágnesesen párosítva, ha te ki akarod próbálni ezt a kísérletet!
Kísérleti rész:
Követve Fred Epps és Stefan Hartmann ötleteit bifiláris tekercseket használt a szerző (J.L.N) a kísérletekben, megépítve a következő áramkört, amelynél figyelemre méltó az áramkör Rg terhelésen tapasztalt hullámforma.

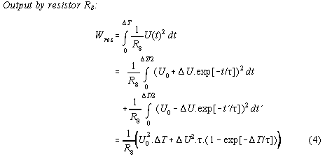
A felhasznált energia számítása:
Ennek
az áramkörnek az egynél nagyobb hatásfokát
a fogyasztó ellenállásánál a következő
módon láthatjuk:
Mivel az áramkör egy R-L kör,
elsősorban, mi úgy tudjuk leírni a hullámformát
az oszcillogram mindegyik fél ciklusában az R8-nál, hogy
|
|
Ahol |
Ebből mi bele tudjuk kalkulálni az áramot a ciklusba
![]()
Ebből következik:
Az akkumulátor bementi munkája
egy frekvencia ciklusnál

Kimenet az Rg ellenállásra

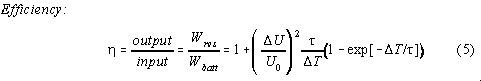
Hatásfok:

Javaslat a lehetséges további hatásfok növelésre:
1.)
Hasznos úgy választani az
,
hogy a
egy maximumot érjen
el, melynek extrapolálásával mi meg tudjuk oldani az
egyenletet.
. Ebből
megkapjuk a maximális hatásosságot, amikor is
.
Ilyen feltétel alatt a lehetséges maximális hatásfok

2.) A feszültség ugrás következtében
a kapcsolgatás maximalizált legyen. Tehát a kapcsolgatott
tekercs legyen minél nagyobb, és a tekercs kapcsolása olyan
gyors amennyire csak lehetséges. A parazita kapacitását
a tekercsnek le kell redukálni, amennyire csak lehetslges a tekercs csévélése
által ami magasabb legyen, mint egy sima Tesla tekercs amelyek ennek
a tervnek a extremum-ja.(?)
3.) az időzítő hatását ketté
kell választani, amennyire csak lehetséges.
4.)A felső csúcsok
fokozzák a hatásfokot, míg az alsó csúcsok
összenyonmják azt. Tehát az alsó csúcsok hatását
csökkenthetjük lassú kapcsolással, egy tranzisztoron,
amelyre alkalmas egy alaptranzisztor, vagy egy FET.
Teoretikus rész: (2 normál légmagos tekercsre,
melyek nincsenek magnesesen párban!)
Az áramkör
elvénél figyelembe kellvenni, hogy ez egy egyszerű R-L kör,
melyet a következő ábra reprezentál.

Az áramkör differenciál egyenlete
![]()
Mer az ILR' = Ig - IR az utolsó egyenletet le lehet írni úgy is, hogy
![]()
A bal oldala a differenciál egyenletnek tartalmazza
az inhomogén részt, mivel ennek alapján lehet FET-et, vagy
tranzisztort képviseltetni a fenti ábrán úgy mint
egy változtatható ellenállást. Feltételezzük
továbá a demonstráció céljából
azt, hogy IR a FET nyitott fázisában lesz úgy,
hogy (
-sel mint kapcsolási
dővel)

a zárt fázis tart

Továbbá mi úgy választottuk R' -t,
hogy R'.I LR'<<U0 , így R'.I LR' elhagyhattuk
U0 -val szemben.
Tehát az egyenletet (8) le lehetett redukálni
egy normál R-L körré, amely alá van vetve négyszögjel
feszültség csúcsoknak ![]()
![]()
A megoldását ennek a problémának feloldja a legtöbb szabványos elektronikai könyv és van egy ábrájuk, amely pontosan hasonlít a fent lévő szkóp képre.
Konklúzió:
Azért, hogy teljesítsük
a termodinamika energia megmaradás törvényét (első
törvény) energiának kell jönnie az áramkörbe
a kapcsolgatott tekercsnél.
Ha ez a többlet energia a környezeti
hőből alakult át, akkor mérhető módon kellene lehűlnie
a tekercsnek, és a ferritnek!
De a probléma akkor jelentkezikennél
a magyarázatnál, ha nekünk egy légmagos tekercsünk
van a nagyon alacsony hőmérsékletű vákumnban.
További lehetséges
magyarázatként felmerül a Zero Point Energy ZPE, G-strain
(?) energia, vagy egyéb hasonló koncepció.
Fordította Tuvok 2003.07.01